Упр.8.36 ГДЗ Мерзляк 10 класс Базовый уровень (Алгебра)
Решение #1

Рассмотрим вариант решения задания из учебника Мерзляк, Номировский, Полонский 10 класс, Вентана-Граф:
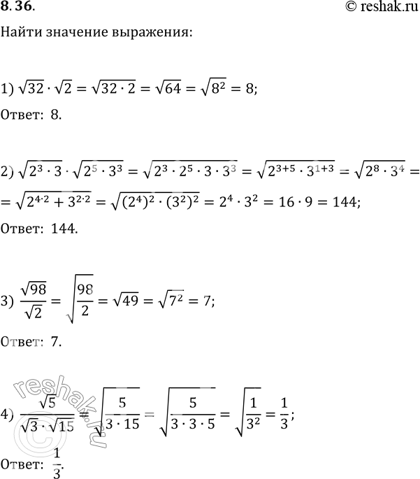
8.36. Найдите значение выражения:
1) v32·v2; 2) v(2^3·3)·v(2^5·3^3); 3) v98/v2; 4) v5/(v3·v15).
*размещая тексты в комментариях ниже, вы автоматически соглашаетесь с пользовательским соглашением