Упр.8.19 ГДЗ Мерзляк 11 класс Углубленный уровень (Алгебра)
Решение #1

Рассмотрим вариант решения задания из учебника Мерзляк, Номировский, Поляков 11 класс, Вентана-Граф, Просвещение:
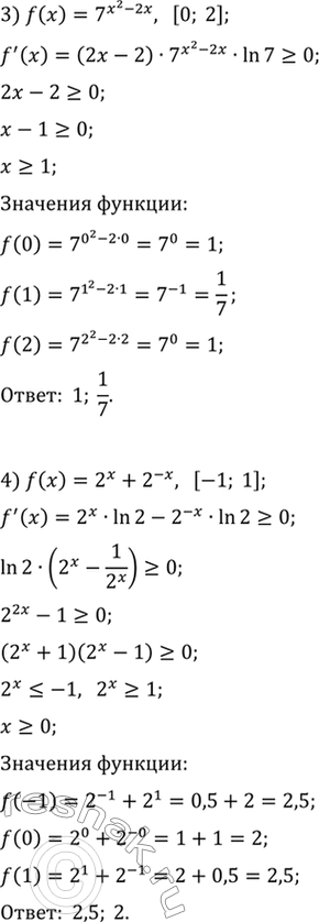
8.19. Найдите наибольшее и наименьшее значения функции:
1) f(x)=e^x+x на промежутке [-1; 1];
2) f(x)=x^2 e^(2x) на промежутке [-2; 1];
3) f(x)=7^(x^2-2x) на промежутке [0; 2];
4) f(x)=2^x+2^(-x) на промежутке [-1; 1].
*размещая тексты в комментариях ниже, вы автоматически соглашаетесь с пользовательским соглашением